1、因为A和对角矩阵B相似,所以-1,2,y就是矩阵A的特征值

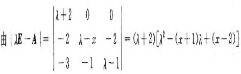
知λ=-2是A的特征值,因此必有y=-2。再由λ=2是A的特征值,知|2E-A|=4[22-2(x+1)+(x-2)]=0,得x=0。
2、由

对λ=-1,由(-E-A)x=0得特征向量α1=(0,-2,1)T,对λ=2,由(2E-A)x=0得特征向量α2=(0,1,1)T,对λ=-2,由(-2E-A)x=0得特征向量α2=(1,0,-1)T。那么,令

扩展资料
矩阵A为n阶方阵,若存在n阶耍凤总矩阵B,使得矩阵A、B的乘积为单位阵,则称A为可逆阵,B为A的逆矩阵。若方阵的逆阵存在,则称为可逆矩阵或非奇异矩阵,且其逆矩阵唯一。
设A是n阶方阵,如果数λ和n维非零列向量x使关系式Ax=λx成立,那么昆物这样的数λ称为矩阵A特征值,非零向量x称为A的对应于特征值λ的特征向量。
式Ax=λx也可写成( A-λE)X=0。这是n个未知数n个方程的齐次线性方程组,戴宙它有非零解的充分必要条件是系数行列式| A-λE|=0。
参考资料来源:百度百科-可逆矩阵